In our effort to accumulate wealth, one of the things that we have to do is to invest our money. Money kept under your bed or even on a basic savings account in a bank will decrease in value thanks to inflation, which is one of the core reason why we should invest. I’m writing this article to help you assess and compare investment opportunities that you are thinking of. Before reading this piece, I hope you already have an understanding on why you should invest and the concept of diversification. This article is purely from investment value perspective, and will NOT cover assessing risks in an investment and managing your portfolio.
In assessing investment opportunity and whether it’s right for you, I’d like to introduce a few concepts in this article, which are:
- Payback Period
- The time value of money
- Net Present Value
- Internal Rate of Return
- Equivalent Annual Annuity
Payback Period
The easiest way to compare investment opportunities is called the Payback Period. Simply put, this is the minimum amount needed for you to recover your originally invested amount of money. For example, you have an investment opportunity where you invest 10,000 USD now, then receive 5,000 USD per year at the end of each year (illustration below).


In this case, your payback period is 2 years. Because at year 2, you already receive a total of 10,000 USD which covers your initial investment of 10,000 USD.
All else equal, shorter payback period is better.
The Time Value of Money
100$ that you receive today is more valuable than 100$ that you receive next year. This statement captures the concept of time value of money. If we receive the money today, we can invest it, and end up with more money than we originally receive.
Compounding is the process of moving cash flows forward in time.

![]()
Discounting is the process of moving cash flows back in time.


For example, for a 100$ timed deposit, with 6% annual return
In 1 year, the value will be 106$.
And in 2 years, the value will be 112.36$.
Which means, in this case we should be indifferent to receiving 100$ today, receiving 106$ next year, or receiving 112.36$ in 2 years. You might have noticed that after 2 years, instead of 112$, you have 112.36$, this is because the interest (6$) that you earned in the first year is reinvested at the same rate and you get an additional 0.36$ (6$*6%).
Net Present Value
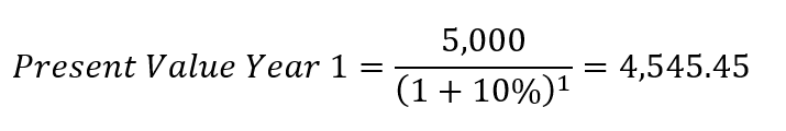
Net Present Value is the sum of present value of all cash flow that you will receive, minus the initial investment you made. Let’s look back to our previous example:


In this project, your initial investment is 10,000 USD, and your yearly cashflow is 5,000 USD. Now you need to discount all the cashflows that will occur in the future to the present. To do this, you need a “discount rate”. Discount rate can be defined in multiple ways with various methods. But assuming you are an individual investor, the bare minimum you need to know is that this discount rate should incorporate 2 things, risk free investment rate (such as bank’s timed deposit that is covered by the government, government bond yield), and the risk premium (the additional return you need to cover a certain amount of risk.
Risk free rate is the rate in which you can invest and you have virtually zero risk. For example, in Indonesia, all timed deposit up to 6.5% interest is covered by LPS (Lembaga Penjamin Simpanan), a government agency that protect people’s savings in financial institution. As because of the government protection, this 6.5% rate can be thought of as the Risk Free Rate for Indonesians.
Adding to that risk free rate, is the risk premium. Because you are taking risk, then you must be compensated for the risk that you take. For example, if you have an investment opportunity with 5% chance of failure, you will not want to receive just 6.5% return (the same as risk free rate), because you can get 6.5% from investing in a timed deposit without risk.
Let’s say for the previous example that the discount rate is 10% (6.5% risk free rate + 3.5% premium). Then we can discount the value of cashflow in each year with the formula above.


Repeating the process for year 2-4, then summing it all up will give us a net present value of 15,849.33 USD, as pictured below.


As this project have a positive Net Present Value (NPV), then this opportunity can be said as profitable and should be accepted.
Internal Rate of Return
Internal Rate of Return (IRR) is a discount rate that makes the net present value of a project zero. For example, our earlier project has an IRR of 34.90%. If we discount all the cashflows with this discount rate, then the NPV will equal zero (Shown below).


If you have excel, then calculating IRR is very simple, you can use the following formula:
=irr(range of cashflows)


And the result will be:


If you would like to calculate IRR manually, then you need to do a trial and error approach, trying out different discount rates until you find the discount rate that makes the value of the project zero.
Different from NPV, with IRR, you need to determine if that rate of return is enough for you or not. For example, if the criteria is 10% minimum expected return, then the project satisfies the condition as the IRR is 34.90%.
Usually, when you compare projects with both the NPV and IRR approach, both approach will provide you with the same result on which project is more profitable. But in case that this doesn’t hold true (For example, because of irregular cashflow), you should follow the result of the NPV approach.
Equivalent Annual Annuity
The last concept that I would like to introduce is Equivalent Annual Annuity (EAA). For projects with different lifespan, it can be difficult to assess just by using NPV/IRR approach. This approach calculates the annual cashflow generated by the project over its life as if the project is an annuity.
There are 3 steps in this approach:
- Calculate all project’s NPV
- Compute the EAA of the projects
- Compare the EAA and select the highest one
As with IRR, if you are using excel, you can simply use the formula:
=PMT(Discount Rate, Number of Period, Net Present Value)
For example, if in addition to the earlier project, we have a choice of Project B and Project C with the same discount rate (10%), but different cashflows and different lifespan, we can compare it with EAA like below.


And the result is:


Using the EAA approach, we should pick project B, because the cashflow in project B is the same as if we receive 3,854.03 USD per year.
Summary
For projects with equal lives, use NPV and IRR approach, and pick the project with the highest NPV if the result conflicts each other. But for project with different lives, EAA approach is more recommended. During the process of making this writing, I developed a simple excel with formulas to help you quickly calculate simple projects/opportunities. (Screenshot below).


You can download the excel file here : Comparing Investment Opportunity.
Note on using the excel file:
- Fill up all the cashflow until the last cashflow in the project, and leave all the rest empty.. E.g: for a 12 year project, fill up cashflow of year 1-12, leaving year 13 onwards empty(not 0). In the project lifespan, even if cashflow for a given year is 0, do not leave the space empty, put 0 in.
- Spaces that you can fill is the cells with yellow background.
Any inputs and comments are much appreciated, comment below, or through email to iancc09@outlook.com!



